当前:首页 > 中考网 > 分数线
2017年上海黄浦区中考零志愿、名额分配志愿投档分数线
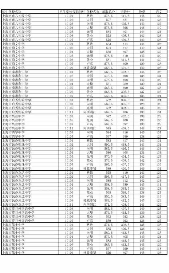
2017黄浦中考零志愿投档分数线
热门浏览排名
2017年厦门中考志愿填报细则公布
2020年河南三门峡市开学复课通知_中考资讯
2018年起福建中考投档总分为650分
2017年浙江义乌随迁子女中考政策有所调整
2017年福建中考化学总分将调整为75分
2017年福建省中考考试意见于日前发布
2017年威海艺校普高美术特长生报名时间公布
2017年泉州中考所有科目将实行闭卷考
2017年漳州中考将统一划定普高录取线
2020年山东中考将增加法制知识内容考查
2016年广东揭阳中考录取分数线公布